監獄同學抄寫高王經回函:經文的內容雖然簡單,卻像一道柔和的力量,當筆尖在紙上移動時,那些原本盤旋不去的焦慮與煩躁,也跟著一點一滴地淡了。
2025-12-12 新聞報導

好消息!
近期我們再度收到矯正機關寄來的讀者回函。
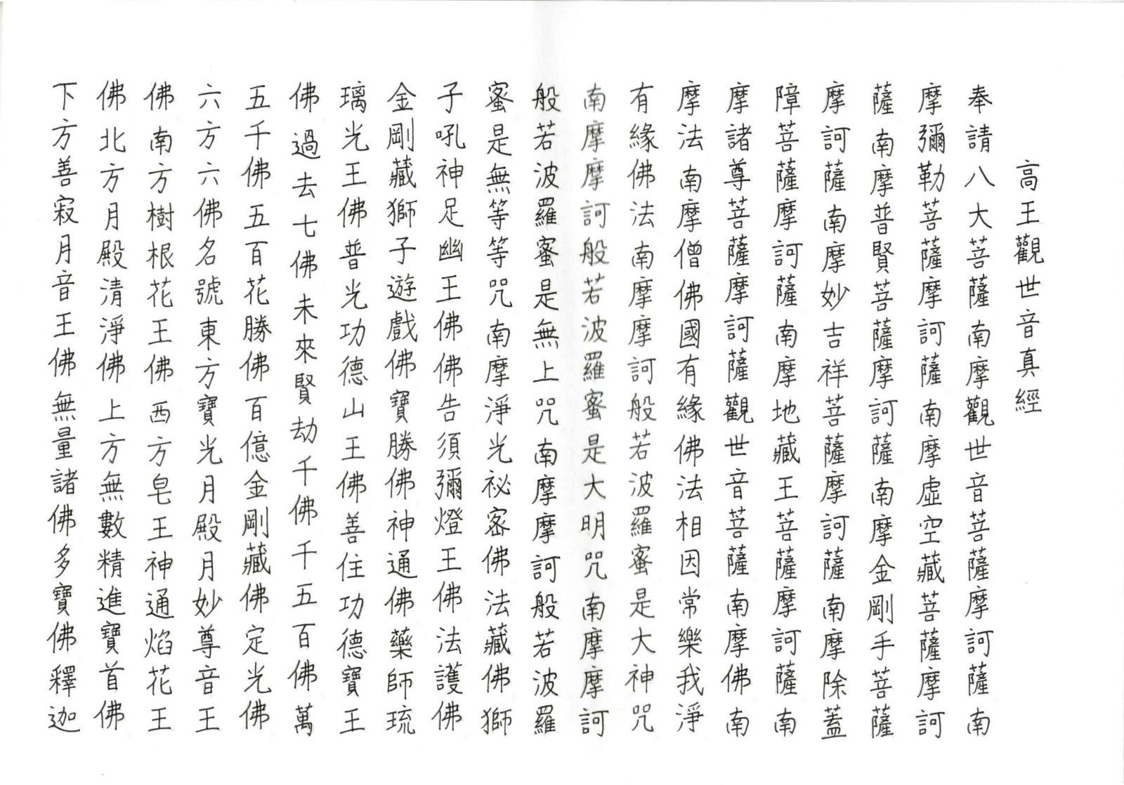
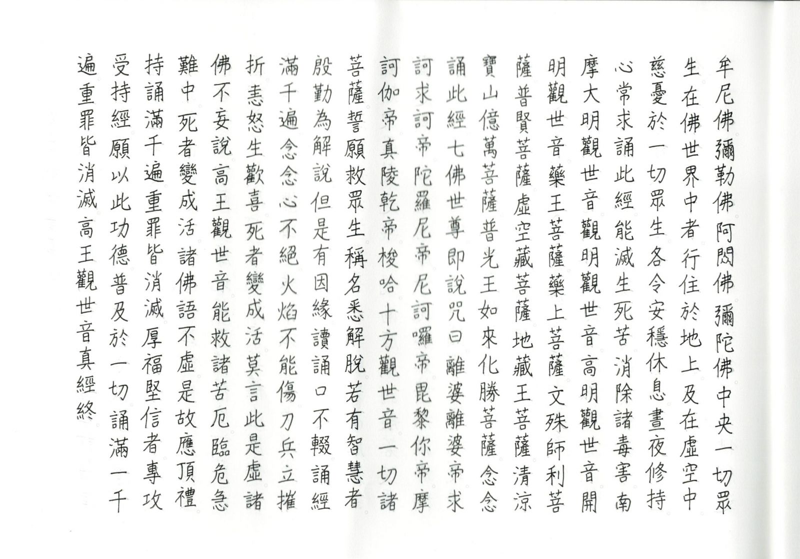
這位同學寄來了他抄寫的《高王觀世音真經》抄經祈願本,
並在來函中真誠道出自己的改變與感謝:
經文的內容雖然簡單,卻像一道柔和的力量,引導我看見內心深處的平和。
當我把心沉澱下來一字一句地寫出經文時,感受到一種久違的安定,重新再和自己對話。
當筆尖在紙上移動時,那些原本盤旋不去的焦慮與煩躁,也跟著一點一滴地淡了。
大家助印的抄經祈願本,正默默的為我們的國家社會帶來美好與光明。
----
歡迎大家隨喜助印、免費索取善書、抄經祈願本:
----
‧弘一大師說,抄經有十種功德利益:
一、往昔罪障悉皆消除。
二、不受三災八難。
三、咸蒙法益。
四、夜叉、惡鬼都皆不能侵。
五、心得安穩、日夜吉祥。
六、至心奉法,衣食豐足。
七、福壽綿長。
八、所言所行,人天歡喜。
九、知行具足。
十、含識安穩,種植善根,作大福田。
由此可知,書寫受持經書,功德不可思議!
----
近期矯正機關贈書徵信報導:
獄同學抄寫高王經回函:經文的內容雖然簡單,卻像一道柔和的力量,當筆尖在紙上移動時,那些原本盤旋不去的焦慮與煩躁,也跟著一點一滴地淡了。
https://www.edaden.com/index.php?route=news/news&news_id=177
監獄同學抄寫高王經回函:從剛抄寫時的茫然無知,到心中擁有平安寧靜;從憤世嫉俗到甘心受苦,從怨天尤人到知足感恩。對於過往不論是有意無意的惡行都能心生懺悔,同時亦讓內心轉化成更有同理心。
https://www.edaden.com/index.php?route=news/news&news_id=170
監獄同學抄寫高王經回函:我體會到抄經不只是寫字,它更像是一種修行,能調養身心、提升專注力,還能傳遞善意,讓生活變得平和。
https://www.edaden.com/index.php?route=news/news&news_id=168
監獄同學抄寫高王經回函:抄經讓我獲得內心平靜,將功德迴向給家人
https://www.edaden.com/index.php?route=news/news&news_id=162
監獄同學抄寫高王經回函:抄寫誦念這部真經,使我得以正視自己過往所犯的錯誤
https://www.edaden.com/index.php?route=news/news&news_id=157
熱愛抄經的更生人,主動來函索取大燈文化過去贈送的多元抄經本。
https://www.edaden.com/index.php?route=news/news&news_id=147
監獄同學抄寫高王經回函:透過抄經來償還過去種種罪惡
https://www.edaden.com/index.php?route=news/news&news_id=133
監獄同學抄寫高王經回函:抄寫高王觀世音真經以後深深反省自己
https://www.edaden.com/index.php?route=news/news&news_id=129
監獄同學抄寫高王經回函:邊抄寫邊念誦時,感覺到心靈有被淨化;每抄完一本經文,感覺到智慧有些許的成長
https://www.edaden.com/index.php?route=news/news&news_id=125
監獄同學抄寫地藏經回函:自從抄寫地藏經後,每日念地藏菩薩聖號,夢到親屬往生者,印證了地藏菩薩本願經的真實性!
https://www.edaden.com/index.php?route=news/news&news_id=124
監獄同學抄寫藥師經回函:抄經讓我心平氣和,功德迴向給家人父母及十方,期許能讓在監同學紛紛效仿!
https://www.edaden.com/index.php?route=news/news&news_id=123
矯正機關同學來函,希望再索取《高王觀世音真經》抄經祈願本!
https://www.edaden.com/index.php?route=news/news&news_id=121
監獄同學回函:感謝大燈文化贊助監獄,讓受刑人可以抄寫地藏菩薩本願經,實在功德無量。 佛弟子心裡念地藏菩薩, 手抄地藏菩薩本願經, 希望母親能消災延壽。
https://www.edaden.com/index.php?route=news/news&news_id=119
監獄同學回函:我相信無形的高王觀世音,能給予我的妻小,更平穩與平安的道路及生活
https://www.edaden.com/index.php?route=news/news&news_id=116
監獄同學回函:地藏菩薩本願經,給了我滿滿的安心,越寫越安穩,讓我一心向佛。
https://www.edaden.com/index.php?route=news/news&news_id=113
監獄同學回函:對過往所造貪瞋癡心生懺悔,用感恩惜福的心,回報眾人間的用心!
https://www.edaden.com/index.php?route=news/news&news_id=112
監獄同學回函:我會用心抄經,並學習佛,翻轉不良習性,使自己成為一個對家人社會有貢獻的人
https://www.edaden.com/index.php?route=news/news&news_id=107
獄同學抄寫高王經回函:經文的內容雖然簡單,卻像一道柔和的力量,當筆尖在紙上移動時,那些原本盤旋不去的焦慮與煩躁,也跟著一點一滴地淡了。
https://www.edaden.com/index.php?route=news/news&news_id=177
監獄同學抄寫高王經回函:從剛抄寫時的茫然無知,到心中擁有平安寧靜;從憤世嫉俗到甘心受苦,從怨天尤人到知足感恩。對於過往不論是有意無意的惡行都能心生懺悔,同時亦讓內心轉化成更有同理心。
https://www.edaden.com/index.php?route=news/news&news_id=170
監獄同學抄寫高王經回函:我體會到抄經不只是寫字,它更像是一種修行,能調養身心、提升專注力,還能傳遞善意,讓生活變得平和。
https://www.edaden.com/index.php?route=news/news&news_id=168
監獄同學抄寫高王經回函:抄經讓我獲得內心平靜,將功德迴向給家人
https://www.edaden.com/index.php?route=news/news&news_id=162
監獄同學抄寫高王經回函:抄寫誦念這部真經,使我得以正視自己過往所犯的錯誤
https://www.edaden.com/index.php?route=news/news&news_id=157
熱愛抄經的更生人,主動來函索取大燈文化過去贈送的多元抄經本。
https://www.edaden.com/index.php?route=news/news&news_id=147
監獄同學抄寫高王經回函:透過抄經來償還過去種種罪惡
https://www.edaden.com/index.php?route=news/news&news_id=133
監獄同學抄寫高王經回函:抄寫高王觀世音真經以後深深反省自己
https://www.edaden.com/index.php?route=news/news&news_id=129
監獄同學抄寫高王經回函:邊抄寫邊念誦時,感覺到心靈有被淨化;每抄完一本經文,感覺到智慧有些許的成長
https://www.edaden.com/index.php?route=news/news&news_id=125
監獄同學抄寫地藏經回函:自從抄寫地藏經後,每日念地藏菩薩聖號,夢到親屬往生者,印證了地藏菩薩本願經的真實性!
https://www.edaden.com/index.php?route=news/news&news_id=124
監獄同學抄寫藥師經回函:抄經讓我心平氣和,功德迴向給家人父母及十方,期許能讓在監同學紛紛效仿!
https://www.edaden.com/index.php?route=news/news&news_id=123
矯正機關同學來函,希望再索取《高王觀世音真經》抄經祈願本!
https://www.edaden.com/index.php?route=news/news&news_id=121
監獄同學回函:感謝大燈文化贊助監獄,讓受刑人可以抄寫地藏菩薩本願經,實在功德無量。 佛弟子心裡念地藏菩薩, 手抄地藏菩薩本願經, 希望母親能消災延壽。
https://www.edaden.com/index.php?route=news/news&news_id=119
監獄同學回函:我相信無形的高王觀世音,能給予我的妻小,更平穩與平安的道路及生活
https://www.edaden.com/index.php?route=news/news&news_id=116
監獄同學回函:地藏菩薩本願經,給了我滿滿的安心,越寫越安穩,讓我一心向佛。
https://www.edaden.com/index.php?route=news/news&news_id=113
監獄同學回函:對過往所造貪瞋癡心生懺悔,用感恩惜福的心,回報眾人間的用心!
https://www.edaden.com/index.php?route=news/news&news_id=112
監獄同學回函:我會用心抄經,並學習佛,翻轉不良習性,使自己成為一個對家人社會有貢獻的人
https://www.edaden.com/index.php?route=news/news&news_id=107
大燈文化2023年度矯正機關贈書報導
大燈文化2024年度文集善書發送工作回顧



